Leandro Sanz
Assistant Professor of Finance
Mendoza College of Business, University of Notre Dame
I study corporate finance, with a focus on how firms respond to frictions in capital markets, product markets, and production networks. My recent work examines supply chain risk, intangible assets, and firms’ pricing decisions.
Ph.D. in Finance, The Ohio State University.
Recent
Selected working papers
-
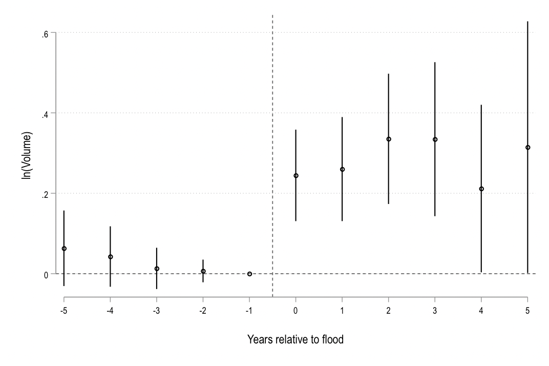
Building Corporate Resilience to Supply Chain Disruptions
I examine how firms build resilience against supply chain disruptions to hard-to-replace inputs. Firms hold more inventory, less cash, and higher leverage, and update these policies after shocks that reveal new information about risk.
Abstract. I examine how exposure to disruption risk from hard-to-replace inputs affects corporate resilience investments and firms' learning about that risk. Using a new dataset on 11,000 foreign suppliers to U.S. manufacturers, I show that firms with fewer alternative suppliers hold more inventory and less cash, and have higher leverage. Exploiting natural disasters that disrupt suppliers, I find that firms update their beliefs about disruption risk and make persistent changes to corporate policies in response. Consistent with learning, the response is strongest after first-time shocks. Finally, firms with higher inventory buffers are better protected against performance losses when disruptions occur.
Supplier map
ln(Volume)
Inventories/Sales
Cash/Assets
Debt/Assets -
Organization capital, large startups, and the dearth of IPOs
We show that startups relying heavily on organization capital to achieve scale through digital technologies are more likely to remain private and grow large rather than exit early via IPO or acquisition.
Abstract. Many startups in the 2000s have remained private after achieving large valuations, a pattern that funding availability alone cannot explain. We propose that startups relying heavily on organization capital to achieve economies of scale and network effects through digital technologies are more likely to become large private firms than exit earlier via an IPO or acquisition. Using LinkedIn data, we construct a novel measure of organization capital intensity for startups. Exploiting a legal shock that strengthened organization capital protection, we provide causal evidence that organization-capital-intensive startups are more likely to remain private and grow large rather than exit early.